You’ve probably heard of this phrase “cross multiplication” before. What is it and when can we use it?
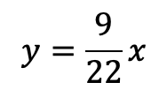
Once, I asked a student, “Do you know when you can use cross multiplication?” He replied, “When you see fractions! Like this…” He wrote the following on the board:
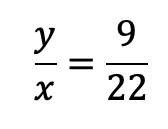
Another student overhead and said, “No, that’s not right!” He then wrote the following on the board:
Who do you think is correct?
In a way, both are right, we use cross multiplication when we see fractions. However, we can only use cross multiplication when we see “fraction = fraction”.

Cross multiplication is a technique to solve equations involving algebraic fractions.
How Is Cross Multiplication Used?
Can you recall how cross multiplication works? If not, let me show you an easy way to remember!

That’s right! Use a butterfly. This is how it works. First, draw two loops as shown.

Next, we multiply the numbers in each loop.

Now, we solve to get to get
.
It’s always a good habit to check if our answer is correct. Do you know how to do that?
That’s right, substitute into the original equation and check if the values on the left and right sides are the same.
Check:
LHS = =
=
= RHS
Since the values on both sides are the same, our answer is correct!
Why Does Cross Multiplication Work?
Let’s try to solve in a different way.
Let’s make both sides of the equation have the same denominator.

Now that the denominators are the same, compare the numerators. What do you observe?
That’s right! which is the same result we had when we did cross multiplication.
This is not sorcery!
What did we do to the left numerator? We multiplied by 3, which is also the right denominator.
What did we do to the right numerator? We multiplied by , which is also the left denominator.
So instead of doing this:

We do this:

Cross-multiplication speeds things up, don’t you think so?
Applying Cross Multiplication To The Algebraic Ratio Question
A student once asked me the following question:
Given that
and
.
(a) Find the value of
.
(b) Hence, find the value of
.
I can feel some of you cringing. I feel you, so before I reveal the answer to you, let’s see how we can approach this problem using a similar and simpler problem.
Given
, find the value of
.
The Guess and Check Approach
Let’s try to guess the values of and
. We will use a table to help us to organise our guesses.

Now, we have to answer the question. Since and
, the value of is
is
.
This is too time consuming.
Is there an easier way? Of course, there is!
The Cross Multiplication Approach
Let’s use the butterfly to help us. First, draw two loops as shown.

Next, we multiply the expressions in each loop. Use the distributive law to help you.

Then shift all the terms with onto the LHS and the terms with
on the RHS.

Since we want the fraction , first, we make
alone on the LHS.

Then we divide by y throughout to get the desired on the LHS.

Voila! The answer is .
What if the question instead asks for the ratio ?
That’s right, we can write as as
.
Let’s apply the cross-multiplication approach to the original question.
Question:
Given that
and
.
(a) Find the value of
.
(b) Hence, find the value of
.
Solving This Question Using The Cross Multiplication Method
Part (a):
Let’s use the butterfly to help us. First, draw two loops as shown.

Next, we multiply the numbers in each loop. Use the distributive law to help you.

Then shift all the terms with onto the LHS and the terms with
on the RHS.

Since we want the fraction , first, we make
alone on the LHS.

Then we divide by throughout to get the desired
on the LHS.

Part (b):
We now have to find the value of . We already found the value of
in (a). Notice that we have not used
.
The first question we must ask ourselves is…
How are
,
and
related?
Let me give you a hint. The product of two will give the other.

This is the missing link!
Now that we know how the 3 fractions are related, we can easily find !

If you like our methodology, we've some upcoming workshops:

